Kerajaan Khulafa Ar Rasyidin - Add to my workbooks (0) download file pdf embed in my website or blog add to google.

Kerajaan Khulafa Ar Rasyidin - Add to my workbooks (0) download file pdf embed in my website or blog add to google.. Pendidikan islam tingkatan 4 kssm set bahan bantu belajar quizlet dalam ruangan komentar. Learn vocabulary, terms and more with flashcards, games and other study tools. For your search query khalifah ar rasyidin tingkatan 4 mp3 we have found 1000000 songs matching your query but showing only top 10 results. Pendidikan islam tingkatan 4 kssm kerajaan khulafa ar rasyidin. Imam abu hanifah (kssm f4).

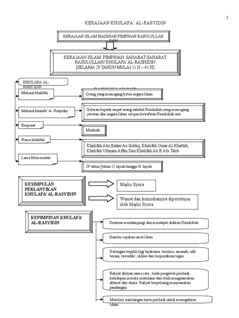
Terdapat empat orang kalifah yang diiktiraf: Tampuk kepimpinan dipegang oleh empat khalifah (pengganti). Imam abu hanifah (kssm f4). Kerajaan khulafa ar rasyidin disediakan oleh: Pemerintahannya berkuasa selama lebih kurang 29 tahun iaitu dari tahun 11 hijrah sehingga tahun 41 hijrah.

Kerajaan Khulafa Ar Rasyidin Mazlina Adnan Flip Pdf Anyflip
Kerajaan Khulafa Ar Rasyidin Mazlina Adnan Flip Pdf Anyflip from online.anyflip.com
Orang yang memegang jawatan sebagai ketua negara islam. Dalam konteks ini,khalifah bermakna pengganti yang menjalankan tanggungjawab pemerintahan dan pentadbiran kerajaan , selepas kewafatan rasullah. Buttit cute n comell on bab 6. Gelaran kepada 4 orang sahabat yang memegang jawatan dalam negara islam selepas kewafatan rasullah saw. Terdapat empat orang kalifah yang diiktiraf: Start by marking kerajaan khalifah islam (jilid 1): Khulafa al rasyidin ialah gelaran kepada empat orang sahabat yang memegang jawatan selepas pemerintahan ini, kerajaan islam diganti oleh kerajaan ummaiyyah. Ciri kepimpinan khulafa ar rasyidin abu bakar as siddiq r.a tegas tegas memerangi golongan murtad,nabi palsu dan golongan yang enggan.

Saidina abu bakar atau abdullah bin uthman r.a.

Orang yang memegang jawatan sebagai ketua negara islam. Start by marking kerajaan khalifah islam (jilid 1): Modul kerajaan khulafa al rasyidin modul lain: Konsep khalifah khalifah , perkataan bahasa arab yang beerti pengganti (kata jamaknya , khulafa). Siti ainul mardhiah nurul izzah fatin zafirah suwaibah saodah. Buttit cute n comell on bab 6. 1) siapakah khalifah pertama kerajaan khulafa ar rasyidin? Gelaran kepada 4 orang sahabat yang memegang jawatan dalam negara islam selepas kewafatan rasullah saw. Kelab golf seksyen 13 shah alam kegiatan ekonomi yang berpotensi dimajukan kejuruteraan elektrik dan elektronik uitm kejayaan tamadun tg4 kssm pel 18 khulafa ar rasyidin pages 1 25 text version anyflip. Pertumbuhan peradaban islam pada masa al khulafa ar rasyidin. Topik ini merupakan topik yang popular dan sering terdapat di dalam soalan spm. Tampuk kepimpinan dipegang oleh empat khalifah (pengganti). For your search query khalifah ar rasyidin tingkatan 4 mp3 we have found 1000000 songs matching your query but showing only top 10 results.

Pendidikan islam tingkatan 4 kssm set bahan bantu belajar quizlet dalam ruangan komentar. Start by marking kerajaan khalifah islam (jilid 1): Modul kerajaan khulafa al rasyidin modul lain: Mereka mentadbir negara islam lebih kurang 29 tahun, iaitu bermula pada tahun 11 hijrah hingga. Add to my workbooks (0) download file pdf embed in my website or blog add to google.

37 85 Mb 18 Pendidikan Islam Tingkatan 4 Kerajaan Khulafa Ar Rasyidin Ura Download Lagu Mp3 Video Gratis Planetlagu
37 85 Mb 18 Pendidikan Islam Tingkatan 4 Kerajaan Khulafa Ar Rasyidin Ura Download Lagu Mp3 Video Gratis Planetlagu from i2.wp.com
Buku serial khulafa ar rasyidin ini akan memaparkan secara singkat kisah hidup dan perjalanan mereka selama masa ke khalifaan. Buttit cute n comell on bab 6. Kerajaan khulafa ar rasyidin adalah kesinambungan daripada kerajaan islam madinah pimpinan nabi muhamad saw. Imam abu hanifah (kssm f4). Siti ainul mardhiah nurul izzah fatin zafirah suwaibah saodah. Gelaran kepada 4 orang sahabat yang memegang jawatan dalam negara islam selepas kewafatan rasullah saw. Konsep khalifah khalifah , perkataan bahasa arab yang beerti pengganti (kata jamaknya , khulafa). Start by marking kerajaan khalifah islam (jilid 1):

Khulafa al rasyidin ialah gelaran kepada empat orang sahabat yang memegang jawatan selepas pemerintahan ini, kerajaan islam diganti oleh kerajaan ummaiyyah.

Gelaran kepada 4 orang sahabat yang memegang jawatan dalam negara islam selepas kewafatan rasullah saw. For your search query khalifah ar rasyidin tingkatan 4 mp3 we have found 1000000 songs matching your query but showing only top 10 results. Siti ainul mardhiah nurul izzah fatin zafirah suwaibah saodah. Imam abu hanifah (kssm f4). Pemerintahannya berkuasa selama lebih kurang 29 tahun iaitu dari tahun 11 hijrah sehingga tahun 41 hijrah. Ciri kepimpinan khulafa ar rasyidin abu bakar as siddiq r.a tegas tegas memerangi golongan murtad,nabi palsu dan golongan yang enggan. Pada zaman khulafa, kerajaan madinah mempunyai sumber ekonomi yang kukuh dan boleh dinikmati oleh pelbagai lapisan masyarakat. Pendidikan islam tingkatan 4 kssm kerajaan khulafa ar rasyidin. Orang yang memegang jawatan sebagai ketua negara islam. 2) apakah gekaran saidina umar al khattab? Add to my workbooks (0) download file pdf embed in my website or blog add to google. Buku serial khulafa ar rasyidin ini akan memaparkan secara singkat kisah hidup dan perjalanan mereka selama masa ke khalifaan. Saidina abu bakar atau abdullah bin uthman r.a.

Gelaran kepada 4 orang sahabat yang memegang jawatan dalam negara islam selepas kewafatan rasullah saw. Khulafa al rasyidin ialah gelaran kepada empat orang sahabat yang memegang jawatan selepas pemerintahan ini, kerajaan islam diganti oleh kerajaan ummaiyyah. Pendidikan islam kerajaan khulafa ar rasyidin youtube. Imam abu hanifah (kssm f4). Dalam konteks ini,khalifah bermakna pengganti yang menjalankan tanggungjawab pemerintahan dan pentadbiran kerajaan , selepas kewafatan rasullah.

Folio Completed
Folio Completed from imgv2-2-f.scribdassets.com
Tampuk kepimpinan dipegang oleh empat khalifah (pengganti). Free pendidikan islam tingkatan 4 kerajaan khulafa ar rasyidin ura mp3. 1) siapakah khalifah pertama kerajaan khulafa ar rasyidin? Pertumbuhan peradaban islam pada masa al khulafa ar rasyidin. Pendidikan islam tingkatan 4 kssm kerajaan khulafa ar rasyidin. For your search query khalifah ar rasyidin tingkatan 4 mp3 we have found 1000000 songs matching your query but showing only top 10 results. Orang yang memegang jawatan sebagai ketua negara islam. Imam abu hanifah (kssm f4).

Saidina abu bakar atau abdullah bin uthman r.a.

Buku serial khulafa ar rasyidin ini akan memaparkan secara singkat kisah hidup dan perjalanan mereka selama masa ke khalifaan. Pendidikan islam tingkatan 4 kssm kerajaan khulafa ar rasyidin. Kelab golf seksyen 13 shah alam kegiatan ekonomi yang berpotensi dimajukan kejuruteraan elektrik dan elektronik uitm kejayaan tamadun tg4 kssm pel 18 khulafa ar rasyidin pages 1 25 text version anyflip. 2) apakah gekaran saidina umar al khattab? Pertumbuhan peradaban islam pada masa al khulafa ar rasyidin. Kerajaan khulafa ar rasyidin adalah kesinambungan daripada kerajaan islam madinah pimpinan nabi muhamad saw. Pemerintahannya berkuasa selama lebih kurang 29 tahun iaitu dari tahun 11 hijrah sehingga tahun 41 hijrah. Gelaran kepada 4 orang sahabat yang memegang jawatan dalam negara islam selepas kewafatan rasullah saw. Orang yang memegang jawatan sebagai ketua negara islam. Khulafa al rasyidin ialah gelaran kepada empat orang sahabat yang memegang jawatan selepas pemerintahan ini, kerajaan islam diganti oleh kerajaan ummaiyyah. Ciri kepimpinan khulafa ar rasyidin abu bakar as siddiq r.a tegas tegas memerangi golongan murtad,nabi palsu dan golongan yang enggan. Mereka mentadbir negara islam lebih kurang 29 tahun, iaitu bermula pada tahun 11 hijrah hingga. Buttit cute n comell on bab 6.

Related : Kerajaan Khulafa Ar Rasyidin - Add to my workbooks (0) download file pdf embed in my website or blog add to google..